摘要:
一般的发电机都采用星形接法,主要是为了防止三次谐波的流通,因为制造上的原因,必然存在着大量的各次谐波(其中最主要的部分就是三次谐波分量最大),如果将发电机接成三角形,则三次谐波磁势所产生的三次谐波电流在内阻很小的绕组中产生很强大的环流,就会大大降低发电机的输出功率。
1、发电机采用星型接法而不用三角形接法原因在于星型接法可以抑制三次谐波电流,防止发电机三相绕组产生三次谐波环流,但是不能抑制三次谐波电压。
2、发电机采用星型接法是为了降低绕组的电压降,从而达到节省材料,降低绝缘材料的要求,减小电机的制造尺寸,降低发电机造价的目的。发电机定子接成星形,主要是考虑发电机的定子感应电动势中存在高次谐波,特别是三次谐波。各基波之间的相位差是120˚,三次谐波电动势之间的相位差则为3×120˚=360˚,即三相绕组中三次谐波的电动势是同相位的。若此时定子接成三角形,就相当于三个电压源串联,势必会在三相绕组中产生较大的循环电流,引起定子绕组过热。
为什么发电机的定子绕组一般都接成星形而不接成三角形?
在同步发电机定子感应电动势的高次谐波中,三次谐波电势的幅值最大,影响也最大。由于三次谐波的频率是基波频率的3倍,而三相基波电势互相有1200的相位差,所以三相绕组中三次谐波电势的相位差是基波的3倍,相互之间应是3600的相位差。因3600又回到原位,故三相三次谐波的起点是相同的,也即它们是同相位的。
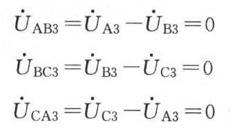
当三相定子绕组接成星形时,它的线电压和相电压之间的关系如下所示:

由于三次谐波同相位,所以线、相电压中三次谐波的关系为:

由此可见,当发电机定子绕组接成星形时,在线电压中不存在三次谐波。
又由于三相的三次谐波电流同相位,均指向或背向中性点,电流构不成通路,所以在星形接法中也不存在三次谐波电流。
如发电机定子绕组采用三角形接法,则在三角形的闭合回路中,总电势是三相电势的总和。由于基波电势彼此相差1200,所以在闭合回路中,基波电势的总和等于零。闭合回路中没有基波电势产生的电流。但是对于三次谐波,由于各相之间同相位,闭合回路中的三次谐波总电势等于一相三次谐波电势的3倍,这一谐波电势会在三相定子绕组中产生较大的循环电流,从而引起附加损耗使电机发热。因此,虽然在三角形接法的线电压中也不存在三次谐波成分(这是因为三次谐波电势全部用于平衡漏抗压降,故在端电压中无输出),但是由于上述原因,一般发电机均采用星形接法而不用三角形接法。
粤ICP备14074683号
粤公网安备44030702003267号
版权 2011-2026 深圳市小安电力应急服务有限公司 保留所有权利 Powered by www.phwl.net